Inductor : Inductive Reactance
Inductive Reactance |
|||
|
So far we have looked at inductors connected to DC networks and hopefully by now we know that when a DC voltage is applied across an inductor, the growth of the current through it is not instant but is determined by the inductors self-induced or back emf value. Also that the current continues to rise until it reaches its maximum steady state condition after five time constants. The maximum current flowing through the coil is limited only by the resistive element of the coils windings in Ohms, and which in turn is determined by the ratio of voltage over current, V/R, (Ohms Law). |
|||
|
When an alternating or AC voltage is applied across an inductor the flow of current through it behaves very differently to that of an applied DC voltage, by producing a phase difference between the voltage and the current waveforms. Now in an AC circuit, the opposition to current flow through the coils windings not only depends upon the inductance of the coil but also the frequency of the AC waveform. The opposition to current flowing through a coil in an AC circuit is determined by the AC resistance of the circuit. But resistance is always associated with DC circuits so to distinguish DC resistance from AC resistance which is also known as Impedance, the term Reactance is used. Like resistance, reactance is also measured in Ohm's but is given the symbol "X" to distinguish it from a purely resistive value and as the component is an inductor, the reactance of an inductor is called inductive reactance. In other words, an inductors resistance in an AC circuit is called Inductive Reactance. |
|||
|
Inductive Reactance which is given the symbol XL, is the property in an AC circuit which opposes the change in the current. In our tutorials about Capacitors in AC Circuits, we saw that in a purely capacitive circuit, the current IC "LEADS" the voltage by 90o. In a purely inductive AC circuit the exact opposite is true, the current IL "LAGS" the applied voltage by 90o, or (π/2 rads). |
|||
|
|
|||
AC Inductor Circuit |
|||
|
|
|||
|
In the purely inductive circuit above, the inductor is connected directly across the AC supply voltage. As the supply voltage increases and decreases with the frequency, the self-induced back emf also increases and decreases in the coil with respect to this change. We know that this self-induced emf is directly proportional to the rate of change of the current through the coil and is at its greatest as the supply voltage crosses over from its positive half cycle to its negative half cycle or vice versa at points, 0o and 180o along the sine wave. Consequently, the least voltage change occurs when the AC sine wave crosses over at its maximum or minimum peak voltage level. At these positions in the cycle the maximum or minimum currents are flowing through the inductor circuit and this is shown below. |
|||
|
|
|||
AC Inductor Phasor Diagram |
|||
|
|
|||
|
These voltage and current waveforms show that for a purely inductive circuit the current lags the voltage by 90o. Likewise, we can also say that the voltage leads the current by 90o. Either way the general expression is that the current lags as shown in the vector diagram. Here the current vector and the voltage vector are shown displaced by 90o. The current lags the voltage. |
|||
|
We can also write this statement as, VL = 0o and IL = -90o with respect to the voltage, VL. If the voltage waveform is classed as a sinewave then the current, IL can be classed as a negative cosine and we can define the value of the current at any point in time as being: |
|||
|
|
|||
|
|||
|
Since the current always lags the voltage by 90o in a purely inductive circuit, we can find the phase of the current by knowing the phase of the voltage or vice versa. So if we know VL, IL must lag by 90o and if IL is known then VL must lead by 90o. Then this ratio of voltage to current in an inductive circuit will produce an equation that defines the Inductive Reactance, XL of the coil. |
|||
|
|
|||
Inductive Reactance |
|||
|
|
|||
|
We can rewrite the above equation for inductive reactance into a more familiar form that uses the ordinary frequency of the supply instead of the angular frequency in radians, ω and this is given as: |
|||
|
Where: ƒ is the Frequency and L is the Inductance of the Coil and 2πƒ = ω. |
|||
|
From the above equation for inductive reactance, it can be seen that if either of the Frequency or Inductance was increased the overall inductive reactance value would also increase. As the frequency approaches infinity the inductors reactance would also increase to infinity acting like an open circuit. However, as the frequency approaches zero or DC, the inductors reactance would decrease to zero, acting like a short circuit. This means then that inductive reactance is "Proportional" to frequency and is small at low frequencies and high at higher frequencies and this demonstrated in the following graph: |
|||
|
|
|||
Inductive Reactance against Frequency |
|||
The inductive reactance of an inductor increases as the frequency across it increases therefore inductive reactance is proportional to frequency ( XL α ƒ )
|
|||
|
|
|||
Example No1 |
|||
|
A coil of inductance 150mH and zero resistance is connected across a 100V, 50Hz supply. Calculate the inductive reactance of the coil and the current flowing through it. |
|||
|
Inductive reactance, XL = 2πfL = 2π x 50 x .15 = 47.12 ohm |
|||
|
Current, I = V/XL = 100/47.12 = 2.12A |
|||
|
|
|||
AC Through a RL Series Circuit |
|||
|
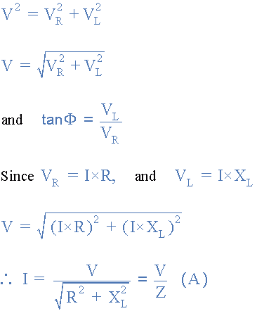
So far we have considered a purely inductive coil, but it is impossible to have a pure inductance as all coils, relays or solenoids will have a certain amount of resistance no matter how small associated with the coils turns of wire being used. Then we can consider our simple coil as being a resistance in series with an inductance. In an AC circuit that contains both inductance, L and resistance, R the voltage, V will be the phasor sum of the two component voltages, VR and VL. This means then that the current flowing through the coil will still lag the voltage, but by an amount less than 90o depending upon the values of VR and VL. The new angle between the voltage and the current is known as the phase angle of the circuit and is given the Greek symbol phi, Φ. |
|||
|
To be able to produce a vector diagram of the relationship between the voltage and the current, a reference or common component must be found. In a series connected R-L circuit the current is common as the same current flows through each component. The vector of this reference quantity is generally drawn horizontally from left to right. From our tutorials about resistors and capacitors we know that the current and voltage in a resistive AC circuit are both "in-phase" and therefore vector, VR is drawn superimposed to scale on the current or reference line. |
|||
|
We also know from above, that the current "lags" the voltage in a purely inductive circuit and therefore vector, VL is drawn 90o in front of the current reference and to the same scale as VR and this is shown below. |
|||
|
|
|||
RL Series AC Circuit |
|||
|
|
|||
| In the vector diagram above it can be seen that line OB represents the current reference line, line OA is the voltage of the resistive component and which is in-phase with the current. Line OC shows the inductive voltage which is 90o in front of the current, therefore it can be seen that the current lags the voltage by 90o. Line OD gives us the resultant or supply voltage across the circuit. The voltage triangle is derived from Pythagoras's theorem and is given as: | |||
|
|
|||
|
In a DC circuit, the ratio of voltage to current is called resistance. However, in an AC circuit this ratio is known as Impedance, Z with units again in Ohms. Impedance is the total resistance to current flow in an "AC circuit" containing both resistance and inductive reactance. If we divide the sides of the voltage triangle above by the current, another triangle is obtained whose sides represent the resistance, reactance and impedance of the coil. This new triangle is called an "Impedance Triangle" |
|||
|
|
|||
The Impedance Triangle |
|||
|
|
|||
|
|
|||
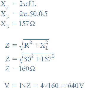
Example No2 |
|||
|
A solenoid coil has a resistance of 30 Ohms and an inductance of 0.5H. If the current flowing through the coil is 4 amps. Calculate, |
|||
|
a) The voltage of the supply if the frequency is 50Hz. |
|||
|
|
|||
|
b) The phase angle between the voltage and the current. |
|||
![]() |
|||
|
|
|||
Power Triangle |
|||
|
There is one other type of triangle configuration that we can use for an inductive circuit and that is of the "Power Triangle". The power in an inductive circuit is known as Reactive Power or volt-amps reactive, symbol Var which is measured in volt-amps. In a RL series AC circuit, the current lags the supply voltage by an angle of Φo. In a purely inductive AC circuit the power will be out of phase by 90o, because of the current but the total power of the coil will be equal to zero as any consumed power is cancelled out the generated self-induced emf power. In other words, energy is both taken from the supply and returned to it. |
|||
|
The Reactive Power, (Q) of a coil can be given as: I2 x XL (similar to I2R in a DC circuit). Then the three sides of a power triangle in an AC circuit are represented by apparent power, (S), real power, (P) and the reactive power, (Q) as shown. |
|||
Power Triangle |
|||
|
|
|||
|
|
|||
|
|
|||
|
Reproduced with permission from Wayne Storr |
|||
|
http://www.electronics-tutorials.ws/inductor/AC-inductors.html |









