Resistor Summary
Resistors Summary |
|
The job of a Resistor is to limit the current flowing through an electrical circuit. |
|
Resistance is measured in Ohm's and is given the symbol Ω |
|
Carbon, Film and Wirewound are all types of resistors |
|
Resistor colour codes are used to identify the resistance and tolerance rating of small resistors |
|
The BS1852 Standard uses letters and is used to identify large size resistors. |
|
Tolerance is the percentage measure of the accuracy of a resistor from its preferred value with the E6 (20%), E12 (10%), E24 (5%) and E96 (1%) series of tolerance values available. |
|
|
Series Resistors |
|
Resistors that are daisy chained together in a single line are said to be connected in SERIES. |
|
Series connected resistors have a common Current flowing through them |
|
Itotal = I1 = I2 = I3 .... etc |
|
The total circuit resistance of series resistors is equal to. |
|
Rtotal = R1 + R2 + R3 + ..... Rn etc |
|
Total circuit voltage is equal to the sum of all the individual voltage drops. |
|
Vtotal = V1 + V2 + V3 .... etc |
|
The total resistance of a series connected circuit will always be greater than the highest value resistor. |
|
|
Parallel Resistors |
|
Resistors that have both of their respective terminals connected to each terminal of another resistor or resistors are said to be connected in PARALLEL |
|
Parallel resistors have a common Voltage across them. |
|
VS = V1 = V2 = V3 .... etc |
|
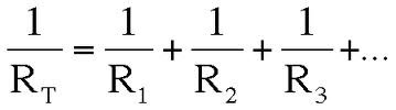
Total resistance of a parallel circuit is equal to. |
![]() |
|
Total circuit current flow is equal to the sum of all the individual branch currents added together. |
|
Itotal = I1 + I2 + I3 .... etc |
|
The total resistance of a parallel circuit will always be less than the value of the smallest resistor. |
|
|
Resistor Power Rating |
|
The larger the power rating, the greater the physical size of the resistor. |
|
All resistors have a maximum power rating and if exceeded will result in the resistor overheating and becoming damaged. |
|
Standard resistor power rating sizes are 1/8 W, 1/4 W, 1/2 W, 1 W, and 2 W. |
|
Low ohmic value power resistors are generally used for current sensing or power supply applications. |
|
The power rating of resistors can be calculated using the formula. |
| Power (P) = V x I = I2R = V2/ R |
|
In AC Circuits the voltage and current flowing in a pure resistor are always "in-phase" producing 0o phase shift.. |
|
When used in AC Circuits the AC impedance of a resistor is equal to its DC Resistance. |
|
The AC circuit impedance for resistors is given the symbol Z. |

